به گزارش سلامت نیوز به نقل از ایسنا، بررسی تازهترین گزارش بیمه مرکزی از عملکرد صنعت بیمه در هفت ماهه سال جاری نشان میدهد که حق بیمه تولیدی یعنی بیمهنامههایی که در این دوره صادر شده حدود ۹۶.۸ هزار میلیارد تومان بوده است که در مقایسه با سال قبل از آن ۶۲.۲ درصد افزایش دارد.
این در حالی است که ۳۲ درصد از پرتفوی حقبیمه تولیدی در بازار بیمه طی این مدت به رشته بیمه درمان و مازاد، ۲۹.۱۲ درصد به بیمه شخص ثالث و مازاد و ۱۳.۳ درصد به بیمه زندگی (عمر) تعلق دارد.
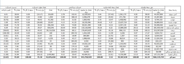
در هفت ماهه اول سال ۱۴۰۱، سهم بخش غیردولتی از حق بیمه تولیدی و از خسارت پرداختی صنعت بیمه به ترتیب ۷۵.۲ و ۷۲.۲ درصد است.
وضعیت پرداخت خسارت در صنعت بیمه
در رابطه با وضعیت بیمهها از نظر پرداخت خسارت در هفت ماهه سال جاری نیز شرکتهای بیمه در مجموع حدود ۴۴.۴ هزار میلیارد تومان خسارت پرداخت کردهاند که در مقایسه با مدت مشابه در سال قبل ۵۳.۴ درصد رشد داشته است.
البته، ۳۹.۸ درصد از خسارت پرداختی در بازار بیمه طی این مدت به رشته بیمه درمان، ۳۰ درصد به بیمه شخص ثالث و مازاد و ۹.۱ درصد به بیمه زندگی(عمر) مربوط می شود.
در این زمینه، نسبت خسارت بازار بیمه با ۲.۶ واحد کاهش در مقایسه با هفت ماهه نخست سال قبل به ۴۵.۸ درصد رسید که فقط نسبت خسارت چهار رشته بدنه اتومبیل، درمان، حوادث راننده و شخص ثالث - مازاد (به ترتیب با ۷۱.۸، ۵۶.۹، ۴۹.۷ و ۴۷.۲ درصد) بالاتر از سطح بازار بیمه است.
۳۹.۴ میلیون بیمهنامه صادر شد
علاوه بر این، در هفت ماهه امسال ۳۹.۴ میلیون بیمهنامه صادر و حدود ۴۲.۹ میلیون فقره خسارت پرداخت شده که نسبت به هفت ماهه نخست سال قبل، به ترتیب ۳.۵ و ۴۵.۴ درصد رشد داشته است.
رشد ۳.۵ درصدی تعداد بیمه نامههای صادره در بازار به طور عمده به واسطه رشد این تعداد در دو رشته شخص ثالث-مازاد و حوادث راننده به ترتیب با ۶.۲ و ۴.۴ درصد رشد و هر یک با سهم حدوداً ۳۵ درصدی از کل تعداد بیمه نامههای صادره بوده است.
همچنین، افزایش ۴۵.۴ درصدی تعداد موارد خسارت پرداختی بازار، بیشتر به دلیل رشد ۴۰.۴ درصدی این تعداد در بیمه درمان با سهم عمده (۹۱.۲ درصد) از تعداد خسارتهای پرداختی بازار بیمه بوده است.


نظر شما